Tinjaulah sebuah sistem tangki sederhana di bawah ini.
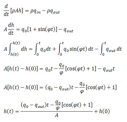
Diasumsikan bahwa debit input mengikuti persamaan q0[1+sin(φt)], sedangkan debit keluaran konstan. Anggaplah cairan yang masuk dan keluar (sebagai contoh) adalah air. Maka, posisi level air dapat diketahui melalui penurunan persamaan berikut:
Dengan menggunakan Matlab Simulink, persamaan di atas dapat dimodelkan seperti pada gambar di bawah ini:




Tidak ada komentar:
Posting Komentar